• Call Us (For Sales Enquiries) Landline/ Mobile Nos
    +91-22-42607090 / +91-9320159522 / +91-8767759549

  • Call Us (For General)
    +91-22-42607000 (Boardline)

  • Mail Us
    contact@mpil.in

  • Home
  • About Us
    • Company Profile
    • Value Proposition
    • Mission & Vision
    • Milestones
    • Awards & Recognitions
    • Corporate Videos
  • Plants
    • Locations
    • Facility & Machineries
    • Certificates & Accreditations
  • Projects
    • JSW Dolvi
    • Ambuja Cement
    • MMRDA Metro Stations
    • Zuari Italcementi Coal Shed
    • Apar Industries Limited Umbergaon
    • Sahara Star Hotel
    • Mumbai Airport Terminal T2
    • Mumbai Airport Hanger
    • Mumbai Airport Connection Bridges
  • Products
    • Roofing Cladding
    • Single Deck Panels
    • Purlins Channels
    • Beams Rafters
    • Components Accessories
    • Solar Module Mounting Systems
  • Expertise
    • Heavy & Complex Steel Structures
    • MPIL roofing Solutions
    • Pre-Engineered Buildings
    • MPIL Solar Solutions
    • Sector Based Expertise
  • Latest UpdatesNEW
  • Clients
    • Our Clients
  • Careers
    • Growth @ MPIL
    • Current Openings
  • Contact Us

Certificates & Accreditations

  • Home
  • Plants
  • Certificates & Accreditations

BHEL Registration M406879 For Module Mounting Structure & PEB

BHEL Registration 15787 For Metapoly Sheets

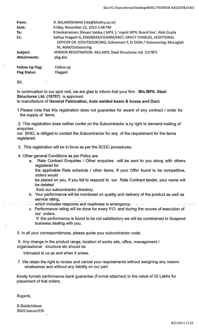
BHEL Registration 15787 For General Fabrication

Heavy Structural Product Certification By IIT Bombay

MP Profiles Product Certification By IIT Bombay

All rights reserved to MPIL STEEL STRUCTURES LIMITED

Design By Matrix Bricks